Magica Brand
VIP
Follow
Share homepage
Upload avatar
Published · 2 numbers
Duplicate
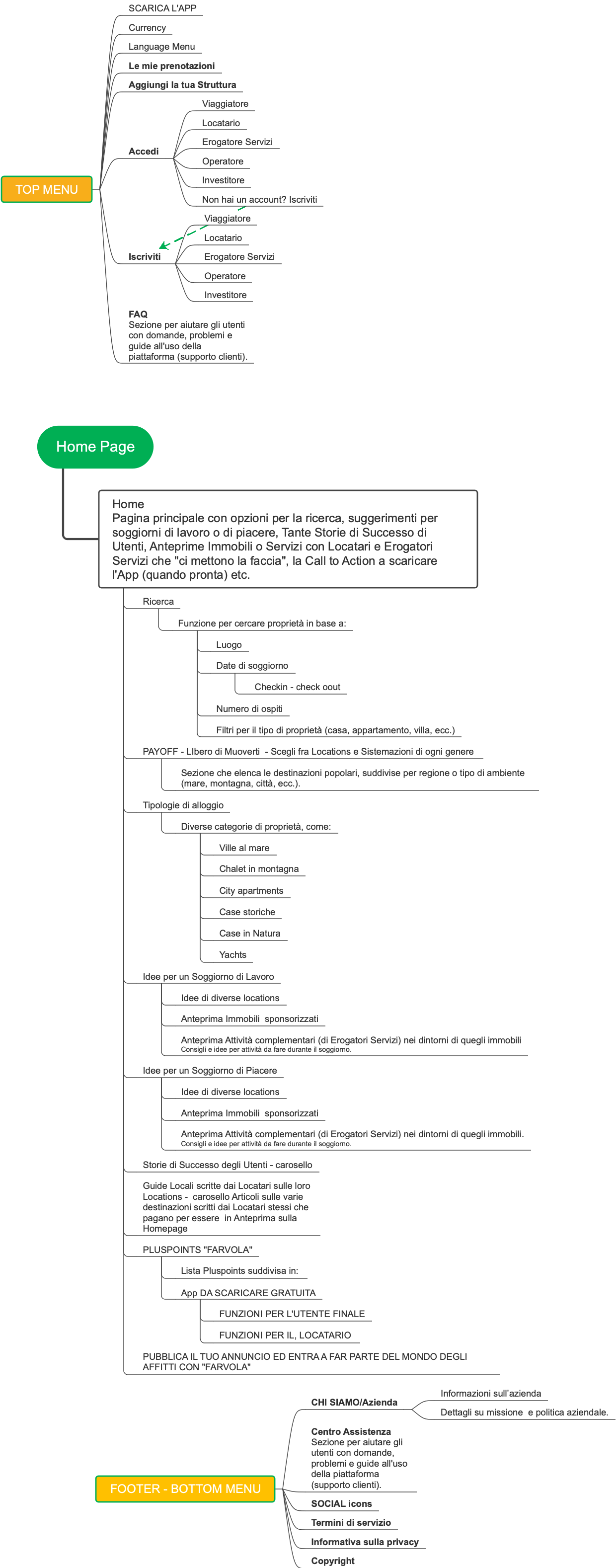
Struttura di una Home Page: Guida Dettagliata
1
0
0
0
Magica Brand
Duplicate
top menu
14
0
0
0
Magica Brand
发布作品